News
Contact
Anti-Racist Mathematics & Other Stories
Added Value 附加价值
Monodramas
Resonator
Can We Change Time?
Untitled
Songs for Non-Work
Misperforming Scripts
Bus
Poets' Security Force
Un (for Ts’ai Lun)
Equivalents
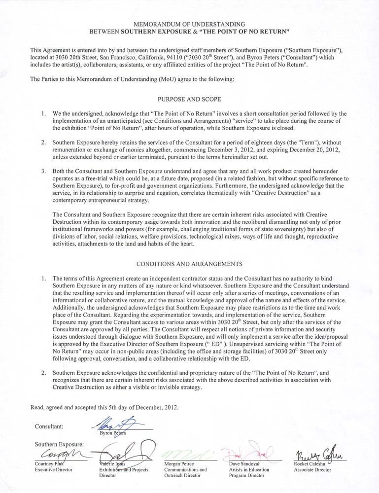
The Point of No Return
There are those
Island Reviews
Free Calls / Llamadas Gratis
2233
Untitled
Gregor
Followspot
Writings
Notes on What-Determines-What
Bells into Networks
Multiple Use
Scripting Misperformance, Misperforming Scripts
Questions on Expansion
Notes on Colour, Empiricism and Emancipation
Organizations
Coupe
FEMA
LMPC
After After
The Point of No Return (2012 / 2013)
Contract with
Southern Exposure
, San Francisco, CA
,
TPONR
, Video Stills